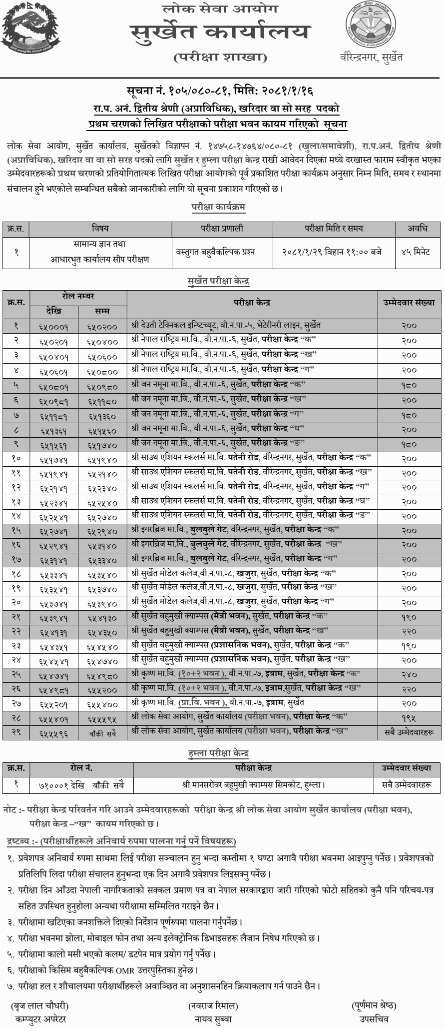
Lok Sewa Aayog Kharidar Post Written Exam Center in Surkhet and Humla
Notice of establishment of examination building for the first stage of written examination for the post of Second Class (Non-Technical), Purchaser or similar posts Public Service Commission, Surkhet Office, Surkhet Advertisement No. 14758-14764/080-81 (Open/Inclusive), Non-Gazetted The first Phase competitive written examination of the candidates whose application forms have been accepted from among those who have applied for the post of Second Class (Non-Technical), Purchaser or the like at Surkhet and Humla Examination Center will be conducted as per the pre-published examination program of the Commission as per the following date, time and place, This notice is published for the information of all concerned.
Note-1:- The examination center for the candidates coming after changing the examination center has been fixed at Shree Public Service Commission Surkhet Office
Note-2:- (Subjects to be Compulsorily Followed by the Examinees)
1) It is compulsory to bring the admit card with you and arrive at the examination hall at least 1 hour before the commencement of the examination. After taking a copy of the admit card, the admit card should be taken one day before the examination.
2) When you come to take the exam, please bring proof of Nepali citizenship or any identity card with a photo issued by the government of Nepal, otherwise you will not be included in the exam.
3) The instructions given by the manpower assigned to the examination must be fully followed.
4) It is prohibited to carry bags, mobile phones, and other electronic devices in the examination hall.
5) Only pen/dot pen with black ink should be used in the exam.
6) The type of exam will be a multiple-choice OMR answer book.
7) Candidates are not allowed to engage in undesired or undisciplined activities in the examination hall and toilets.
Phone no. 083-520106, Fax no. 083-521803, Website: www.psc.gov.np, Email: surkhet@psc.gov.np
