




Government of Nepal National Examination Board Sanothimi, Bhaktapur Information regarding the publication of the results of Re-totaling of class 12
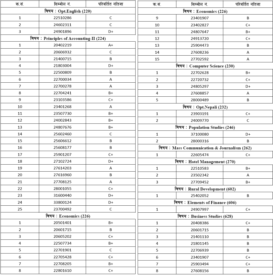
After the publication of the results of the annual examination of class 12 conducted by the National Examination Board, Examination Control Office, Sanothimi, Bhaktapur from 30th Bhadra, 2078 BS to 8th Ashoj; The results of the Re-totaling of the candidates who have applied for Re-totaling with the following symbol numbers have been published as per the decision of the National Examination Board dated 2078-09-28.
In order to get the changed grade sheet/mark sheet, after 15 (fifteen) days from the date of publication of results, please contact this office with the original grade sheet/mark sheet.
Candidates who are not satisfied with the result and wish to view the answer scripts are informed that they can submit the application within 15 (fifteen) days from the date of publication of this notice by paying the prescribed fee (Rs. 2,000 per subject) to the concerned office of the Board of Examination Control Office, Sanothimi, Bhaktapur.
Additional Information:
- The arrangement has been made for the regular students who are eligible to take Garde Increment (supplementary) examination by changing the grade from Re-Totaling to submit the application form within 2078-9-30 without any delay fee.
- The result of re-totaling of Law Streams related subjects has already been published.
Note: If there is an error in the result due to technical reasons, it will be corrected from the records of the Examination Control Office.
Download Result:
NEB Published Class 12 Re-totaling Result 2078.Pdf![]()