CTEVT Madhesh Province Scholarship Entrance Exam for Pre-Diploma Level 2081
Council for Technical Education and Vocational Training (CTEVT), Madhesh Provincial Office, Janakpurdham, Dhanusha Notice Regarding the Publication of Results for the Classified (Free) Scholarship Entrance Examination for Pre-Diploma Level Educational Programs
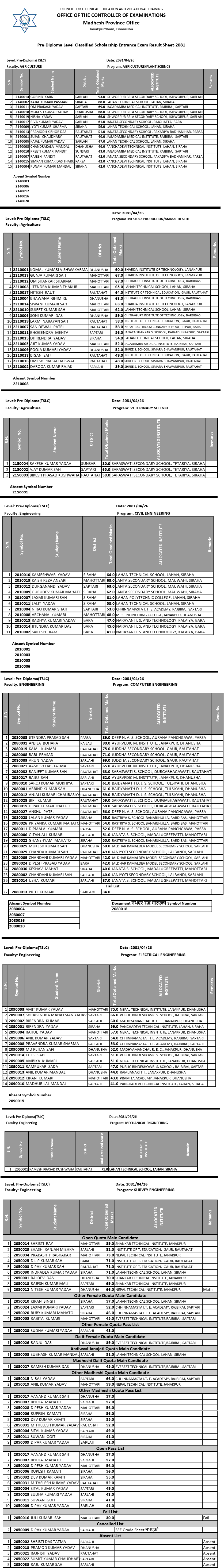
This notice is issued to inform all concerned that the results of the entrance examination for the classified (free) scholarship programs at the Pre-Diploma level, conducted as per the notice published by the Examination Control Office, CTEVT, Sanothimi, Bhaktapur on 2081/03/15, have been published.
The entrance exams were conducted on 2081/04/12, according to the plan of the Examination Control Office, and as per the "Pre-Diploma Entrance Examination, Scholarship Distribution, and Admission Guidelines 2081" implemented by the Madhesh Provincial Office, CTEVT.
The results have been compiled based on the written exam marks, and the marks assigned to SLC/SEE educational certificates. The lists of the main successful candidates, passed candidates, and disqualified candidates have been published according to the decision made on 2081/04/26 for the information of all concerned.
Selected candidates as main candidates are informed to visit the recommended educational institution for admission with their original admit card issued by the Examination Control Office, a copy of the result, the photograph used in the entrance exam application form, educational qualification certificates, citizenship or birth certificate, and the original certificates of the selected targeted group by 2081/05/06 within office hours.
The concerned educational institutions are requested to verify the original certificates and documents submitted by the candidates, as mentioned in this notice and the admission guidelines, and only then proceed with the admission process.
Furthermore, institutions are required to notify the Madhesh Provincial Office at the email address ctevtmadhshexam@gmail.com or ctevt.province2@gmail.com within 3 days, as per Clause 26(b) of the admission guidelines, regarding any candidates who fail to enroll within the specified final date.
This notice also informs that if any educational institution recommended for classified (free) scholarships has not reported the operation of educational programs for this academic session in writing to the Provincial Office, candidates will be recommended for the classified (free) scholarship quota according to the "Pre-Diploma Level Entrance Examination, Scholarship Distribution, and Admission Guidelines 2081" issued by the CTEVT, OCE.
Notice Published Date: 2081/04/26

