
















Lower Secondary Level Teaching License Nepali Result Cancelled Roll Number
Download Result:
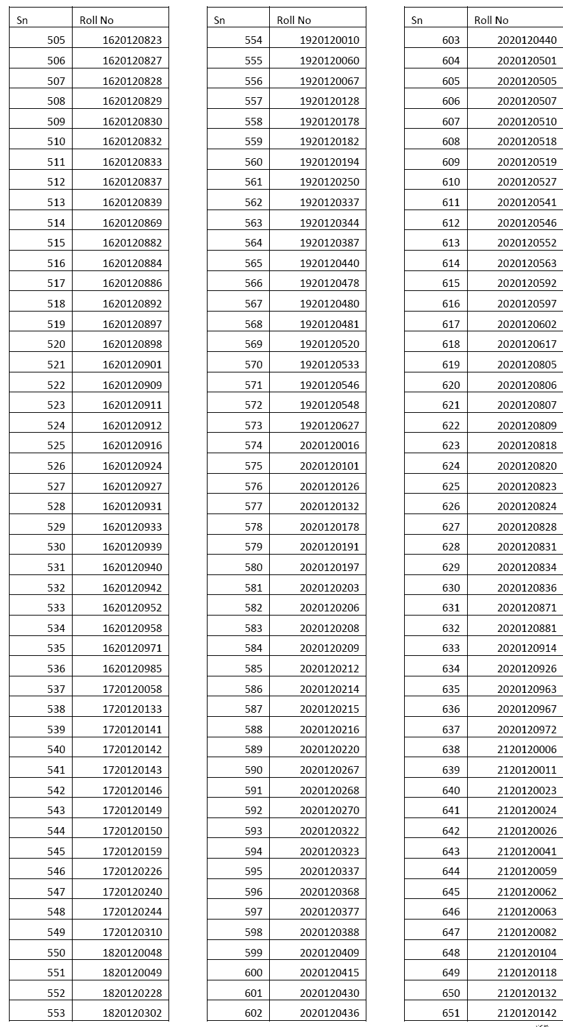
Teachers Service Commission - TSC (Shikshak Sewa Aayog), Sanothimi, Bhaktapur has published the written exam result of the Lower Secondary Level Teaching License of Social Nepali. There are more than two thousand candidates who forgot to write a question key on the answer sheet, therefore the TSC has canceled their result.
Level: Lower Secondary Level (Nimna Madhyamik Vidyalaya -Ni. MA.VI.)
Ads No.: 33/076
Subjects: Nepali
Total Successful Candidates: 2059
Total Candidates: 48934
Total Candidates Mention the Key: 2364
Canceled Roll No.: 8
Pass Percentage: 2059/48934=4.20%
Result Published Date: 2076/12/10 (23 March 2020)